Hiroto Nakano Group

Synthetic organic chemistry

at  Muroran Institute of Technology

Photos (Japanese site)

これまでの研究概要

 医薬品などの生体関連化合物では,右手と左手の関係にある二つの鏡像異性体がそれぞれ異なる作用を示すことが多い。 たとえば,片方は薬になり,もう片方は毒になる。 したがって,一方の鏡像異性体のみを得る合成反応の開発が重要である。 その手法の1つが触媒的不斉合成法である。 この手法は,微量の不斉触媒を反応系に加えるだけで,無限の光学活性化合物の供給が可能であり,その低コスト,省エネルギー,環境調和の観点からも有機合成化学の重要な研究課題の一つである。

 私は,この触媒的不斉反応において使用される一般性・汎用性のある不斉分子触媒の開発と,それを用いる医薬品やその中間体の新規触媒的不斉合成法の開発を中心課題として以下の研究 (1,2) を行ってきた。

1.不斉有機分子触媒の開発とその有機触媒的不斉合成反応への応用

 近年,中心金属を持たない有機化合物だけで触媒作用を示す有機分子触媒が注目されている。 触媒が安価,低毒性で環境負荷が小さく,グリーンケミストリーの観点から有用であり,さらに,レアメタルの不足,高騰を解決するための元素戦略技術として利用でき,地球にやさしい次世代触媒として大きな可能性を持つ。

 私は,独自の新しいコンセプトに基づいた不斉有機分子触媒を開発することを目的として以下の研究を行ってきた。


A. 基質に対する異なる非共有結合配位部位を有する4-ヒドロキシ-2-プロリンアミドアルコール触媒を用いる不斉Michaelおよび Aldol 反応

 一つの分子中に基質との複数の配位部位をもつ新規な有機分子触媒12の開発した。 この触媒は,分子中の異なる基質配位部位を使い分けることにより,不斉Michaelおよび Aldol反応の両方において優れた化学収率と不斉収率を達成した。

B. N,O-アセタール型有機分子触媒を用いる1,2-ジヒドロキシピリジン類の不斉 Diels-Alder反応

 アセタール型不斉触媒開発の一環として,N,O-アセタール構造を有するオキサゾリジン有機分子触媒13を開発し,これを用いるこの反応を行ってところ,目的のDA付加体の鏡像体の一方だけを良好な収率で得ることに初めて成功した。 得られたイソキヌキリジン誘導体は抗インフルエンザ治療薬 “タミフル” や,様々な生物活性化合物の有用な合成中間体である。 触媒13については,現在特許申請中であり企業と製品化を検討している。

これらは,下記のPd触媒炭素—炭素および炭素—窒素結合形成反応(A-D)に有効であった。


A. Pd触媒不斉アリルアルキル化およびアミノ化反応

 不斉配位子 (1,4,5-8) を用いたこれらの反応は,優れた光学収率(99% ee)を与えた。

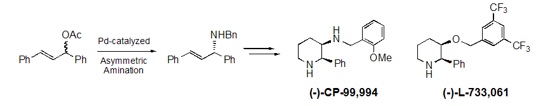
 さらに,この不斉アリルアミノ化を鍵反応とする鎮痛薬(-)-CP-99,994および (-)-L-733,061の実用的な触媒的不斉合成法の開発に成功した。

B. Pd触媒不斉タンデムアリル化反応

 不斉配位子3を用いるこの反応により,胃腸薬モサプリドやNAS-181の光学活性モルホリン骨格,さらに抗HIV治療薬インディナビルの光学活性ピペリジン骨格を1工程で,実用化に耐えうる不斉収率 (94% ee) で初めて合成した。

C. 触媒的不斉Diels-Alder (DA) 反応

 この反応は,環状化合物の鏡像異性体の一方を1工程で構築できる優れた反応である。 不斉触媒9が様々な基質において優れた不斉収率を与えることを明らかにした。

D. 1,2-ジヒドロピリジンをジエンとして用いる触媒的不斉Diels-Alder反応

 不斉触媒9を用いたこの反応により,抗ガン剤ビンブラスチンや抗アルコール中毒薬イボガインの合成中間体であるイソキヌクリジン誘導体を,ほぼ完全な光学純度 (97% ee)で合成することに初めて成功した。

従来の有機溶媒に替わる新しい反応メディアとして注目されているイオン液体中での不斉触媒 9 を用いた不斉 DA 反応が,通常の有機溶媒使用時よりも有効であることを明らかにした。

2. 不斉配位子および不斉金属触媒の開発

 N,O-およびS,O-環状アセタール骨格を有する不斉配位子(1-8)および カチオン性Pd-不斉触媒 (9-11)を独自に開発した.

Research (Japanese site)